Last modified 8 years ago
论坛架构相关资料
Attachments
-
回帖流程.png
(65.8 KB) -
added by xushengde 8 years ago.
-
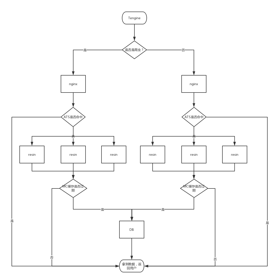
论坛服务器架构.png
(42.8 KB) -
added by xushengde 8 years ago.
-
汽车网论坛_回帖流程_涂瑞.docx
(19.2 KB) -
added by xushengde 8 years ago.
-
汽车网论坛_板块页业务逻辑_张燕君.docx
(350.0 KB) -
added by xushengde 8 years ago.
-
汽车网论坛_删帖子流程_黄冠传.docx
(17.6 KB) -
added by xushengde 8 years ago.
![(please configure the [header_logo] section in trac.ini)](http://www1.pconline.com.cn/hr/2009/global/images/logo.gif)